옆히
Bresenham's line algorithm 본문
Bresenham's line algorithm - Wikipedia
Bresenham's line algorithm - Wikipedia
From Wikipedia, the free encyclopedia Line-drawing algorithm Bresenham's line algorithm is a line drawing algorithm that determines the points of an n-dimensional raster that should be selected in order to form a close approximation to a straight line betw
en.wikipedia.org
브레젠험 직선 알고리즘(Bresenham's line algorithm) (velog.io)
velog
velog.io
이득우의 게임수학 하위 게시글임
Bresenham's line algorithm is a line drawing algorithm that determines the points of an n-dimensional raster that should be selected in order to form a close approximation to a straight line between two points. It is commonly used to draw line primitives in a bitmap image (e.g. on a computer screen), as it uses only integer addition, subtraction, and bit shifting, all of which are very cheap operations in historically common computer architectures.
1962년도에 발표된 브레젠험 알고리즘은 정수만을 사용해 효율적으로 화면에 선분을 그려낼 수 있다. 브레젠험 알고리즘은 아래 그림과 같이 화면을 Octant-8등분 영역으로 구분한 후 각 영역별로 그려내는 방식을 사용한다. 스크린 좌표계에서는 y축이 아래로 향했으므로 회전의 방향은 시계 방향이 된다.

1 팔분면은 [0, $\frac{\pi}{2}$]의 범위를 가지는데 이 영역에서 직선을 그려보자
직선 그리기 ((0<|기울기|<=1))

위 그림과 같이 임의의 두 점을 지나는 직선의 방정식은 다음과 같다.
$$y = \frac{\Delta y}{\Delta x}x +b$$
위 식에 한 점을 대입해 b를 구하면 최종인 식은 다음과 같다.
$$y = \frac{\Delta y}{\Delta x}x + y_{1} - \frac{\Delta y}{\Delta x} x_{1}$$

$(x_{1}, y_{1})$ 에서 $(x_{2}, y_{2})$ 으로 가기 위해서 $(x_{1}, y_{1})$에서 수평((E))으로 이동하거나 한 칸 내려가는지((NE))를 판별해야 한다. 이 때 다음 픽셀의 위치를 판별하기 위해서 점A와 점B의 중단점인 $(x_{1} + 1, y_{1} + 0.5)$를 기준으로 한다. 그래서 브레젠험 알고리즘을 MIdpoint algorithm이라고도 부른다.
중단점인 $(x_{1} + 1, y_{1} + 0.5)$가 앞서 구한 직선의 방정식 $y = \frac{\Delta y}{\Delta x}x + y_{1} - \frac{\Delta y}{\Delta x} x_{1}$ 보다 아래에 있는지 아닌지를 판별하면 된다.
$$\frac{\Delta y}{\Delta x}x + y_{1} - \frac{\Delta y}{\Delta x} x_{1} < y_{1} + 0.5$$
새로 구한 중단점이 직선보다 아래 있으면 수평으로 이동하고 같거나 위에 있다면 한칸 내려간다.

새로 얻은 픽셀에서 또다시 중단점을 구해 이 중단점의 위치를 직선의 방정식과 비교하여 픽셀을 구하는 과정을 $x_{1}$에서 $x_{2}$까지 반복하면 직선을 그려낼 수 있다. 이 과정을 좀 더 효율적으로 해보자.
$$\frac{\Delta y}{\Delta x}x + y_{1} - \frac{\Delta y}{\Delta x} x_{1} < y_{1} + 0.5$$
컴퓨터 계산에서 실수형 계산보다 정수형 계산이 더 값 싼 연산이므로 -cheap operations- 위 식을 이항시켜서 소수점을 없애고 단순화 해보자. 처음의 중단점 $(x_{1} + 1, y_{1} + 0.5)$ 을 통해 다음과 같은 초기 판별식을 얻을 수 있다.
$$D1 = 2\Delta y - \Delta x < 0$$
판별식이 0보다 크거나 같으면 수평이동하고 0보다 작다면 한 칸 내려가면 된다.
이때 중단점이 이동하는 경우는 두 가지 case가 있다.
- 수평으로 이동$(1,0)$만큼 이동
- 한 칸 내려감 $(1,1)$만큼 이동
초기 중단점에서 x좌표 m, y좌표가 n만큼 움직인다고 할 때 초기 판별식은 다음과 같아진다.
$$\frac{\Delta y}{\Delta x}(x_{1} + m) + y_{1} - \frac{\Delta y}{\Delta x} x_{1} < y_{1} + 0.5 + n$$
$$ \Delta y(x_{1} + m) - \Delta y \cdot x_{1} < ( 0.5 + n )\Delta x$$
$$m \Delta y < ( 0.5 + n )\Delta x$$
$$D(m, n) = 2m \Delta y - ( 1 + 2n )\Delta x < 0$$
case 1 인 경우 m += 1, n += 0 이다.
$D(2, 1) = 4 \Delta y - \Delta x$
case 2 인 경우 m+= 1, n += 1 이다.
$D(2, 2) = 4 \Delta y - 3\Delta x$
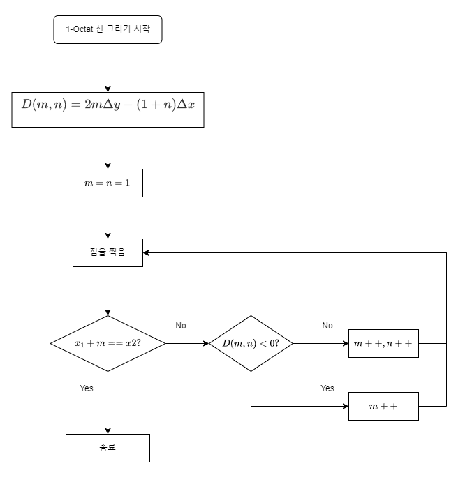
위 식들을 통해 우리는 수평으로 이동하면 초기 판별식에 $2 \Delta y$만큼 더하고, 한 칸 내려간다면 초기 판별식에 $ 2\Delta y - 2 \Delta x$만큼 더한 다음 이 판별식을 다음에 찍을 점에 사용하면 된다는 것을 알 수 있다.
순서도로 나타내면 다음과 같다.

그렇다면 1팔분면을 벗어나 기울기의 크기가 1보다 큰 경우는 어떨까?
직선 그리기 ((|기울기| > 1))

기울기의 크기가 1보다 클 경우에는 앞서 1팔분면에서 그린 방법에서 x와 y를 반대로 하여 하면 된다. 앞선 경우에서는 x 값이 꾸준히 1씩 증가하는 반면 y 값은 1 이상 증가할 수 없었지만 이번 경우에는 반대로 y가 꾸준히 1씩 증가하는 반면 x 값은 1 이상 증가할 수 없다. 증가하는 변화량이 반대가 된 것이다. //기울기 역수로 생각하면 편함

따라서 이번 경우에서의 판별식은 다음과 같다.
$$D(m, n) = 2m \Delta x - ( 1 + 2n )\Delta y < 0$$
변화량이 서로 반대가 되면 된다. 따라서 최종적인 순서도는 다음과 같다.

이후 등장하는 팔분면에서의 기울기를 가지는 선분은 진행 반대만 반대일 뿐 기본 원리는 동일하다. 이러한 규칙을 파악하면 8분면에 모두 대응되는 알고리즘을 완성할 수 있다.
'개인공부용1 > cs' 카테고리의 다른 글
| 시작하세요! C# 12 프로그래밍 - 2부 (0) | 2024.07.14 |
|---|---|
| 정규표현식 (0) | 2024.07.11 |
| 혼자 공부하는 컴퓨터 구조 + 운영체제 (1) | 2024.06.18 |
| Do it! 자료구조와 함께 배우는 알고리즘 입문 : C 언어 편 (0) | 2024.01.29 |
| Portable Network Graphics (PNG) Specification (Third Edition) (0) | 2024.01.27 |